点击关注 关注我们吧~方法一:双击填充在 C2 单元格输入公式后,将鼠标指针移至该单元格左下角,当指针变成黑色十字形状时,双击鼠标左键,即可自动完成公式的批量填充。方法二:如果不支持方法一我们用 Ctrl+D

点击关注 关注我们吧~一、涵洞放样涵洞放样是根据涵洞施工设计图表给出的涵洞中心里程,先放出涵洞轴线与路线中线的交点,然后根据涵洞轴线与路线中线的交角坐标,放出涵洞的轴线方向。当涵洞位于路线直线上时,依据涵洞所在的里程,自附近的公里桩、百米桩沿路线方向量出相应的距离,即得涵洞轴线与路线中…

点击关注 关注我们吧~图9闭合导线角度闭合差的计算:

点击关注 关注我们吧~我们在安装cass11.0.0.4之前,需要确认自己的电脑中是否已经安装好了适配的CAD软件(适用版本为2010-2022),最好将防火墙等杀毒软件也一起关闭,避免程序运行受干扰。咱们打开安装包后,以管理员身份点击安装程序进行安装。

点击关注 关注我们吧~1、沉井基础的施工放样-筑岛浇注沉井的放样沉井接高测量随着沉井的下沉要逐节浇注将其接高。当前一节下沉完毕,即在它上面安装模板,继续浇注。模板的安装要保证其中心线与已浇注好的完全重合。由于沉井在下沉过程中会产生倾斜,则要求下一节模板要保持与前一节有相同的倾斜率。这样才…

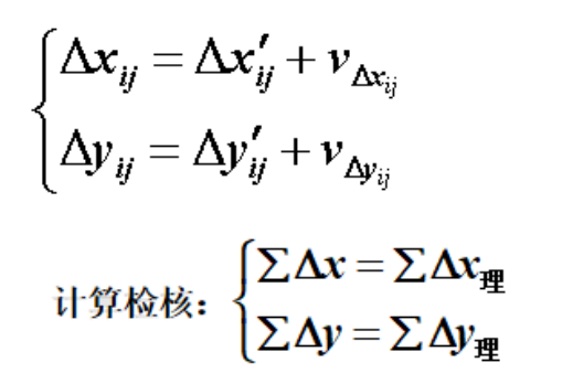
点击关注 关注我们吧~支导线的计算步骤:1)根据起始边的方位角推算各导线边的坐标方位角;2)根据各导线边的坐标方位角和边长,计算坐标增量;
